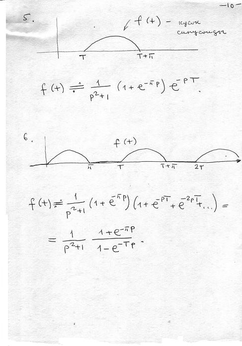
Лекция 12: Техника нахождения изображений

Hosted by uCoz