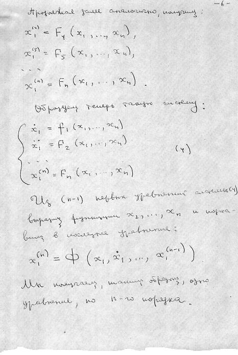
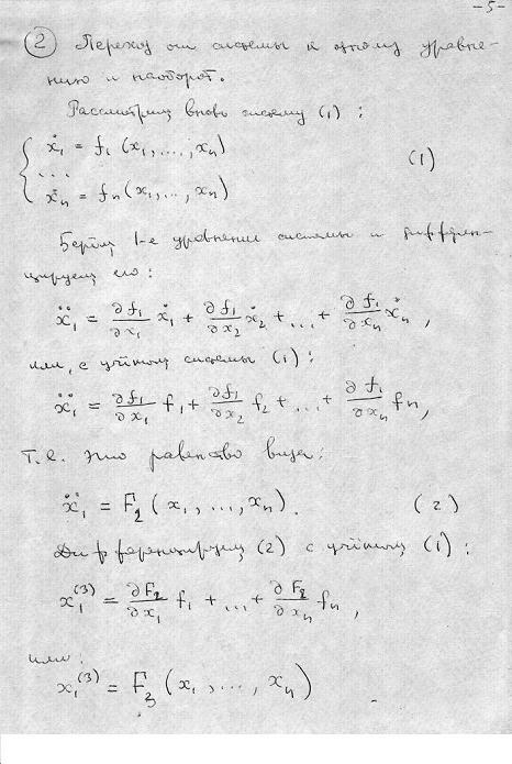
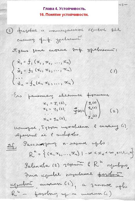
Глава 4. Устойчивость

Лекция 16: Понятие устойчивости

Hosted by uCoz