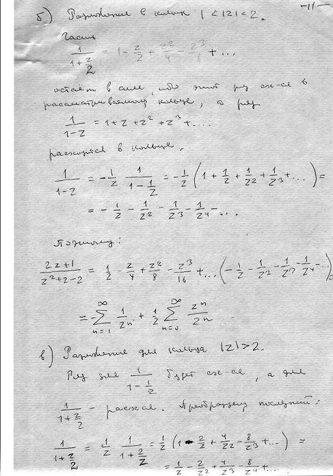
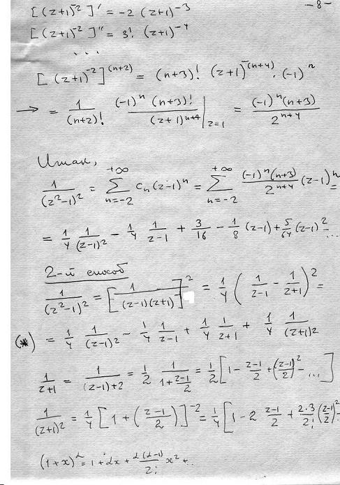
Лекция 8: Изолированные особые точки

Hosted by uCoz