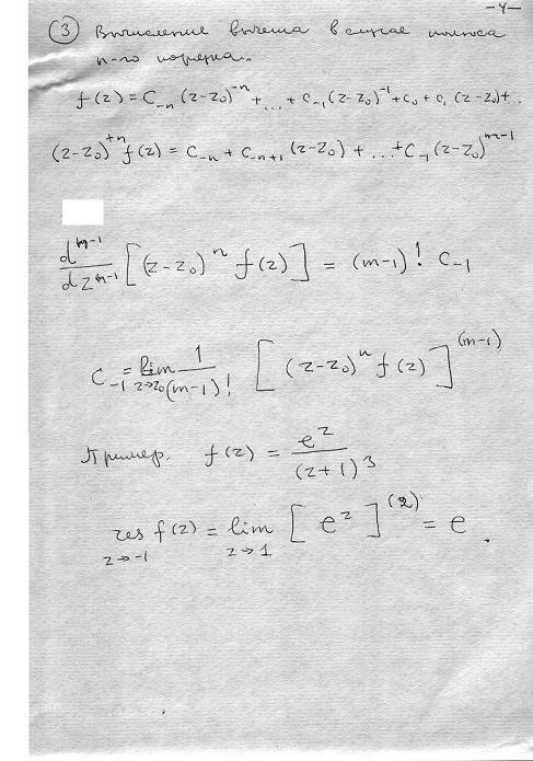
Лекция 9: Вычеты

Hosted by uCoz